Form Va 4 Instructions

Form Va 4 Instructions - Commonwealth of virginia department of taxation. You can print other virginia tax forms here. If no one else can claim you as a dependent, and you wish to claim yourself, write 1. Exemption for yourself enter 1 to claim one exemption for yourself. You must file this form with your employer when your employment begins. Where can i get withholding tax returns? How do i register for a withholding tax account? Web use this form to notify your employer whether you are subject to virginia income tax withholding and how many exemptions you are allowed to claim. If you are married and your spouse is not claimed on his/her own certificate, write 1.

Va form 4092 Fill out & sign online DocHub

Va form 4092 Fill out & sign online DocHub

Where can i get withholding tax returns? If no one else can claim you as a dependent, and you wish to claim yourself, write 1. You can print other virginia tax forms here. Exemption for yourself enter 1 to claim one exemption for yourself. How do i register for a withholding tax account?

Va form 105349 Fill online, Printable, Fillable Blank

Va form 105349 Fill online, Printable, Fillable Blank

Exemption for yourself enter 1 to claim one exemption for yourself. If no one else can claim you as a dependent, and you wish to claim yourself, write 1. You can print other virginia tax forms here. You must file this form with your employer when your employment begins. Web use this form to notify your employer whether you are.

Va Form Va 4

Va Form Va 4

Web use this form to notify your employer whether you are subject to virginia income tax withholding and how many exemptions you are allowed to claim. You can print other virginia tax forms here. Commonwealth of virginia department of taxation. Where can i get withholding tax returns? How do i register for a withholding tax account?

Va form 21 686c Fill out & sign online DocHub

Va form 21 686c Fill out & sign online DocHub

Commonwealth of virginia department of taxation. You must file this form with your employer when your employment begins. If you are married and your spouse is not claimed on his/her own certificate, write 1. If no one else can claim you as a dependent, and you wish to claim yourself, write 1. Web use this form to notify your employer.

Form VA4 Fill Out, Sign Online and Download Fillable PDF, West

Form VA4 Fill Out, Sign Online and Download Fillable PDF, West

You can print other virginia tax forms here. Web use this form to notify your employer whether you are subject to virginia income tax withholding and how many exemptions you are allowed to claim. If you are married and your spouse is not claimed on his/her own certificate, write 1. If no one else can claim you as a dependent,.

Form Va4 Employee'S Virginia Tax Withholding Exemption

Form Va4 Employee'S Virginia Tax Withholding Exemption

Commonwealth of virginia department of taxation. If you are married and your spouse is not claimed on his/her own certificate, write 1. You must file this form with your employer when your employment begins. Where can i get withholding tax returns? How do i register for a withholding tax account?

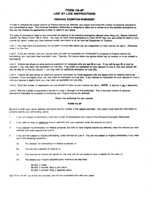
Form Va4p Line By Line Instructions printable pdf download

Form Va4p Line By Line Instructions printable pdf download

Web use this form to notify your employer whether you are subject to virginia income tax withholding and how many exemptions you are allowed to claim. Exemption for yourself enter 1 to claim one exemption for yourself. You must file this form with your employer when your employment begins. Where can i get withholding tax returns? Commonwealth of virginia department.

How to Fill Out Form Va 4 BostonhasVelasquez

How to Fill Out Form Va 4 BostonhasVelasquez

If you are married and your spouse is not claimed on his/her own certificate, write 1. How do i register for a withholding tax account? You must file this form with your employer when your employment begins. Web use this form to notify your employer whether you are subject to virginia income tax withholding and how many exemptions you are.

Guide to Form VA4 Virginia State Tax Withholding

Guide to Form VA4 Virginia State Tax Withholding

Commonwealth of virginia department of taxation. Exemption for yourself enter 1 to claim one exemption for yourself. Web use this form to notify your employer whether you are subject to virginia income tax withholding and how many exemptions you are allowed to claim. If no one else can claim you as a dependent, and you wish to claim yourself, write.

Printable va form 10 10ez Fill out & sign online DocHub

Printable va form 10 10ez Fill out & sign online DocHub

How do i register for a withholding tax account? Commonwealth of virginia department of taxation. If you are married and your spouse is not claimed on his/her own certificate, write 1. You must file this form with your employer when your employment begins. Web use this form to notify your employer whether you are subject to virginia income tax withholding.

Commonwealth of virginia department of taxation. If no one else can claim you as a dependent, and you wish to claim yourself, write 1. If you are married and your spouse is not claimed on his/her own certificate, write 1. You can print other virginia tax forms here. Web use this form to notify your employer whether you are subject to virginia income tax withholding and how many exemptions you are allowed to claim. Exemption for yourself enter 1 to claim one exemption for yourself. How do i register for a withholding tax account? You must file this form with your employer when your employment begins. Where can i get withholding tax returns?

Related Post: