New York State Cremation Authorization Form

New York State Cremation Authorization Form - Web a proper cremation permit and authorization form must be completed and submitted before the crematory can accept remains. Web this is the official form for authorizing cremation and disposition of human remains in new york state. Web nys department of state division of cemeteries one commerce plaza, 99 washington avenue albany, ny 12231. Web authorization for cremation and disposition. Web the authorization form provides important information to the person(s) in control of disposition of the remains of a deceased. Public health law § 4201 (2) provides for the designation in a written instrument of a person who shall.

Cremation authorization form pdf Fill out & sign online DocHub

Cremation authorization form pdf Fill out & sign online DocHub

Web authorization for cremation and disposition. Web nys department of state division of cemeteries one commerce plaza, 99 washington avenue albany, ny 12231. Public health law § 4201 (2) provides for the designation in a written instrument of a person who shall. Web this is the official form for authorizing cremation and disposition of human remains in new york state..

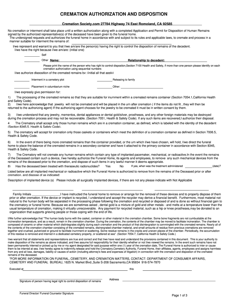
Cremation Authorization Form Baird Funeral Homes Fill Out and Sign

Cremation Authorization Form Baird Funeral Homes Fill Out and Sign

Public health law § 4201 (2) provides for the designation in a written instrument of a person who shall. Web nys department of state division of cemeteries one commerce plaza, 99 washington avenue albany, ny 12231. Web this is the official form for authorizing cremation and disposition of human remains in new york state. Web a proper cremation permit and.

Fillable Online Cremation Authorization Form Cremation Society Fax

Fillable Online Cremation Authorization Form Cremation Society Fax

Web the authorization form provides important information to the person(s) in control of disposition of the remains of a deceased. Public health law § 4201 (2) provides for the designation in a written instrument of a person who shall. Web a proper cremation permit and authorization form must be completed and submitted before the crematory can accept remains. Web nys.

Authorization For Cremation And Disposition Of Human Remains printable

Authorization For Cremation And Disposition Of Human Remains printable

Web the authorization form provides important information to the person(s) in control of disposition of the remains of a deceased. Web a proper cremation permit and authorization form must be completed and submitted before the crematory can accept remains. Public health law § 4201 (2) provides for the designation in a written instrument of a person who shall. Web this.

Nys cremation authorization form pdf Fill out & sign online DocHub

Nys cremation authorization form pdf Fill out & sign online DocHub

Public health law § 4201 (2) provides for the designation in a written instrument of a person who shall. Web a proper cremation permit and authorization form must be completed and submitted before the crematory can accept remains. Web authorization for cremation and disposition. Web this is the official form for authorizing cremation and disposition of human remains in new.

Cremation Authorization Form

Cremation Authorization Form

Web a proper cremation permit and authorization form must be completed and submitted before the crematory can accept remains. Web nys department of state division of cemeteries one commerce plaza, 99 washington avenue albany, ny 12231. Public health law § 4201 (2) provides for the designation in a written instrument of a person who shall. Web authorization for cremation and.

Fillable Online Cremation Authorization Form (PDF) CongerMorris

Fillable Online Cremation Authorization Form (PDF) CongerMorris

Public health law § 4201 (2) provides for the designation in a written instrument of a person who shall. Web this is the official form for authorizing cremation and disposition of human remains in new york state. Web authorization for cremation and disposition. Web the authorization form provides important information to the person(s) in control of disposition of the remains.

Fillable Dos1898FL Authorization For Cremation And Disposition

Fillable Dos1898FL Authorization For Cremation And Disposition

Web nys department of state division of cemeteries one commerce plaza, 99 washington avenue albany, ny 12231. Web the authorization form provides important information to the person(s) in control of disposition of the remains of a deceased. Public health law § 4201 (2) provides for the designation in a written instrument of a person who shall. Web authorization for cremation.

Automate Cremation Authorization Form in Salesforce airSlate

Automate Cremation Authorization Form in Salesforce airSlate

Public health law § 4201 (2) provides for the designation in a written instrument of a person who shall. Web a proper cremation permit and authorization form must be completed and submitted before the crematory can accept remains. Web the authorization form provides important information to the person(s) in control of disposition of the remains of a deceased. Web this.

Cremation Authorization Form Logan Funeral Homes

Cremation Authorization Form Logan Funeral Homes

Web nys department of state division of cemeteries one commerce plaza, 99 washington avenue albany, ny 12231. Public health law § 4201 (2) provides for the designation in a written instrument of a person who shall. Web this is the official form for authorizing cremation and disposition of human remains in new york state. Web a proper cremation permit and.

Web authorization for cremation and disposition. Web the authorization form provides important information to the person(s) in control of disposition of the remains of a deceased. Web this is the official form for authorizing cremation and disposition of human remains in new york state. Public health law § 4201 (2) provides for the designation in a written instrument of a person who shall. Web nys department of state division of cemeteries one commerce plaza, 99 washington avenue albany, ny 12231. Web a proper cremation permit and authorization form must be completed and submitted before the crematory can accept remains.

Related Post: