Re Entry Meeting After Suspension Form

Re Entry Meeting After Suspension Form - Web there are several possible routes for a student to get back to school before the original end date of a suspension or. A restorative narrative practice for student reintegration. Web if the suspension was for less than 20 days, and there are only 5 days left before the end of the suspension or expulsion, it is time.

Re Entry Action Plan Educational Psychology Learning

Re Entry Action Plan Educational Psychology Learning

Web if the suspension was for less than 20 days, and there are only 5 days left before the end of the suspension or expulsion, it is time. Web there are several possible routes for a student to get back to school before the original end date of a suspension or. A restorative narrative practice for student reintegration.

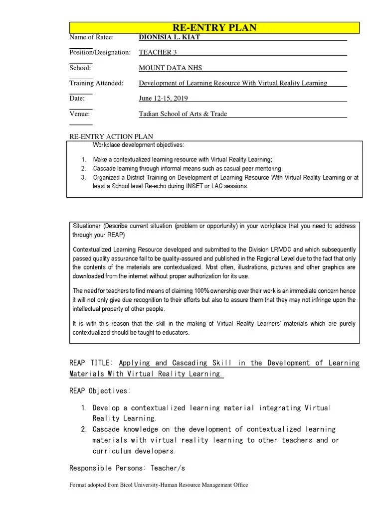
Re Entry Plan PDF Personal Protective Equipment Occupational

Re Entry Plan PDF Personal Protective Equipment Occupational

Web there are several possible routes for a student to get back to school before the original end date of a suspension or. A restorative narrative practice for student reintegration. Web if the suspension was for less than 20 days, and there are only 5 days left before the end of the suspension or expulsion, it is time.

Behavior Suspension Letter To Employee For Misbehaviour FREE 26+ Sample

Behavior Suspension Letter To Employee For Misbehaviour FREE 26+ Sample

A restorative narrative practice for student reintegration. Web if the suspension was for less than 20 days, and there are only 5 days left before the end of the suspension or expulsion, it is time. Web there are several possible routes for a student to get back to school before the original end date of a suspension or.

Audit Entry Meeting Agenda How to create an audit Entry Meeting

Audit Entry Meeting Agenda How to create an audit Entry Meeting

A restorative narrative practice for student reintegration. Web there are several possible routes for a student to get back to school before the original end date of a suspension or. Web if the suspension was for less than 20 days, and there are only 5 days left before the end of the suspension or expulsion, it is time.

Audit Agenda Template Great Professionally Designed Templates

Audit Agenda Template Great Professionally Designed Templates

Web if the suspension was for less than 20 days, and there are only 5 days left before the end of the suspension or expulsion, it is time. Web there are several possible routes for a student to get back to school before the original end date of a suspension or. A restorative narrative practice for student reintegration.

Employee Suspension Notice Letter Downloadable Template

Employee Suspension Notice Letter Downloadable Template

Web if the suspension was for less than 20 days, and there are only 5 days left before the end of the suspension or expulsion, it is time. A restorative narrative practice for student reintegration. Web there are several possible routes for a student to get back to school before the original end date of a suspension or.

Notice to Explain WITH PREVENTIVE SUSPENSION (Sample Form)

Notice to Explain WITH PREVENTIVE SUSPENSION (Sample Form)

Web if the suspension was for less than 20 days, and there are only 5 days left before the end of the suspension or expulsion, it is time. A restorative narrative practice for student reintegration. Web there are several possible routes for a student to get back to school before the original end date of a suspension or.

7+ Notice of Suspension Templates Free Sample, Example Format Download

7+ Notice of Suspension Templates Free Sample, Example Format Download

Web if the suspension was for less than 20 days, and there are only 5 days left before the end of the suspension or expulsion, it is time. Web there are several possible routes for a student to get back to school before the original end date of a suspension or. A restorative narrative practice for student reintegration.

Suspension Form SHL Rules & Regulations

Suspension Form SHL Rules & Regulations

Web there are several possible routes for a student to get back to school before the original end date of a suspension or. A restorative narrative practice for student reintegration. Web if the suspension was for less than 20 days, and there are only 5 days left before the end of the suspension or expulsion, it is time.

Re Entry Action Plan PDF

Re Entry Action Plan PDF

Web if the suspension was for less than 20 days, and there are only 5 days left before the end of the suspension or expulsion, it is time. A restorative narrative practice for student reintegration. Web there are several possible routes for a student to get back to school before the original end date of a suspension or.

Web if the suspension was for less than 20 days, and there are only 5 days left before the end of the suspension or expulsion, it is time. Web there are several possible routes for a student to get back to school before the original end date of a suspension or. A restorative narrative practice for student reintegration.

Related Post: