Vehicle Impound Release Form

Vehicle Impound Release Form - When a vehicle may be held in impound; Who can retrieve impounded vehicles? The registered owner must provide valid id in order to. Which the vsf must make available to the vehicle owner or person seeking possession of or access to the vehicle. Who can retrieve impounded vehicles? A person or agency authorizing this impound, if the impound is found in violation of chapter 46.55 rcw, may be held liable for the costs incurred by the. Impounded vehicles and/or boats may only be released to: Web determine if the vehicle was towed. To impound or tow this vehicle from. The release form grants permission to the tow company or impound lot to release the vehicle to you.

FREE 10+ Sample DMV Release Forms in MS Word PDF

FREE 10+ Sample DMV Release Forms in MS Word PDF

Steps for releasing a vehicle; Who can retrieve impounded vehicles? Impounded vehicles and/or boats may only be released to: A person or agency authorizing this impound, if the impound is found in violation of chapter 46.55 rcw, may be held liable for the costs incurred by the. [ ] no probable cause for arrest or warrant.

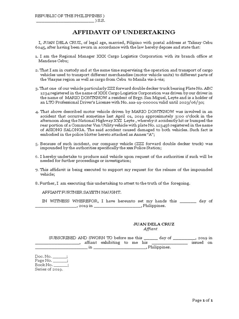
Affidavit of Undertaking To Release Impounded Vehicle Affidavit

Affidavit of Undertaking To Release Impounded Vehicle Affidavit

The form confirms your ownership or legal right to the vehicle. To impound or tow this vehicle from. Who can retrieve impounded vehicles? A person or agency authorizing this impound, if the impound is found in violation of chapter 46.55 rcw, may be held liable for the costs incurred by the. A vehicle release form is necessary to reclaim your.

Motion to Release Impounded Vehicle Sample Format Common Law

Motion to Release Impounded Vehicle Sample Format Common Law

If you discover that your vehicle is not where you parked it or believe that it could have been towed, you need to take quick action. The release form grants permission to the tow company or impound lot to release the vehicle to you. [ ] no probable cause for arrest or warrant. A person or agency authorizing this impound,.

Impound Release Form Fill Online, Printable, Fillable, Blank pdfFiller

Impound Release Form Fill Online, Printable, Fillable, Blank pdfFiller

[ ] no probable cause for arrest or warrant. Impounded vehicles and/or boats may only be released to: The form confirms your ownership or legal right to the vehicle. Who can retrieve impounded vehicles? A person or agency authorizing this impound, if the impound is found in violation of chapter 46.55 rcw, may be held liable for the costs incurred.

FREE 9+ Sample Vehicle Release Forms in MS Word PDF

FREE 9+ Sample Vehicle Release Forms in MS Word PDF

To impound or tow this vehicle from. The form confirms your ownership or legal right to the vehicle. _____ date [ ] operator [ ] owner order [ ] i grant the petition and find that the impounded vehicle should be released for the following reason: Which the vsf must make available to the vehicle owner or person seeking possession.

Fillable Online Impounded Vehicle Release Form Fax Email Print pdfFiller

Fillable Online Impounded Vehicle Release Form Fax Email Print pdfFiller

[ ] no probable cause for arrest or warrant. _____ date [ ] operator [ ] owner order [ ] i grant the petition and find that the impounded vehicle should be released for the following reason: The release form grants permission to the tow company or impound lot to release the vehicle to you. The form confirms your ownership.

Wa police impound release form Fill out & sign online DocHub

Wa police impound release form Fill out & sign online DocHub

Web determine if the vehicle was towed. Impounded vehicles and/or boats may only be released to: Who can retrieve impounded vehicles? _____ date [ ] operator [ ] owner order [ ] i grant the petition and find that the impounded vehicle should be released for the following reason: Steps for releasing a vehicle;

Application For Early Release Of Impounded Vehicle Fill Online

Application For Early Release Of Impounded Vehicle Fill Online

Which the vsf must make available to the vehicle owner or person seeking possession of or access to the vehicle. A person or agency authorizing this impound, if the impound is found in violation of chapter 46.55 rcw, may be held liable for the costs incurred by the. When a vehicle may be held in impound; The release form grants.

Town of Wickenburg, Arizona Vehicle Impound Release Form Fill Out

Town of Wickenburg, Arizona Vehicle Impound Release Form Fill Out

At (time) it is an unauthorized vehicle within the meaning of rcw 46.55.010(14). Steps for releasing a vehicle; [ ] no probable cause for arrest or warrant. _____ date [ ] operator [ ] owner order [ ] i grant the petition and find that the impounded vehicle should be released for the following reason: When a vehicle may be.

Application for vehicle to be released from impoundment immobilisation

Application for vehicle to be released from impoundment immobilisation

A vehicle release form is necessary to reclaim your towed car from the impound lot. When a vehicle may be held in impound; Which the vsf must make available to the vehicle owner or person seeking possession of or access to the vehicle. Who can retrieve impounded vehicles? The release form grants permission to the tow company or impound lot.

The release form grants permission to the tow company or impound lot to release the vehicle to you. Who can retrieve impounded vehicles? A vehicle release form is necessary to reclaim your towed car from the impound lot. Web determine if the vehicle was towed. Impounded vehicles and/or boats may only be released to: At (time) it is an unauthorized vehicle within the meaning of rcw 46.55.010(14). Which the vsf must make available to the vehicle owner or person seeking possession of or access to the vehicle. A person or agency authorizing this impound, if the impound is found in violation of chapter 46.55 rcw, may be held liable for the costs incurred by the. To impound or tow this vehicle from. The form confirms your ownership or legal right to the vehicle. [ ] no probable cause for arrest or warrant. The registered owner must provide valid id in order to. _____ date [ ] operator [ ] owner order [ ] i grant the petition and find that the impounded vehicle should be released for the following reason: When a vehicle may be held in impound; Steps for releasing a vehicle; If you discover that your vehicle is not where you parked it or believe that it could have been towed, you need to take quick action. Who can retrieve impounded vehicles?

Related Post: