Ymca Waiver Form Guest

Ymca Waiver Form Guest - Web from pools to group exercise, you'll find a welcoming environment. Guests under the age of 18 must have a parent or guardian complete the waiver. Web ymca southcoast guest waiver date. Incomplete forms or those without payment will be returned. Web if a guest appears to be taking actions or doing things that are contrary to the y’s mission or would be contrary to the y’s. Web all guests must complete a waiver prior to entry. If a guest is ages 10+, (s)he may use the facility, without an adult as long as a completed. Web marion family ymca guest release and waiver of liability and indemnity agreement in consideration of being permitted to. Web all guests must complete this form. Fill out the y's guest pass form below.

Fillable Online GuestWaiverForm Centegra Health Bridge Fitness

Fillable Online GuestWaiverForm Centegra Health Bridge Fitness

Web if a guest appears to be taking actions or doing things that are contrary to the y’s mission or would be contrary to the y’s. Guests under the age of 18 must have a parent or guardian complete the waiver. Web marion family ymca guest release and waiver of liability and indemnity agreement in consideration of being permitted to..

Membership & Guest Policies YMCA of Northwest Florida

Membership & Guest Policies YMCA of Northwest Florida

Web all guests must complete this form. Web ymca southcoast guest waiver date. Fill out the y's guest pass form below. Web if a guest appears to be taking actions or doing things that are contrary to the y’s mission or would be contrary to the y’s. Web marion family ymca guest release and waiver of liability and indemnity agreement.

Billings Family YMCA Climbing Wall Participant Waiver Form Fill Out

Billings Family YMCA Climbing Wall Participant Waiver Form Fill Out

Incomplete forms or those without payment will be returned. Web ymca southcoast guest waiver date. Web from pools to group exercise, you'll find a welcoming environment. Web marion family ymca guest release and waiver of liability and indemnity agreement in consideration of being permitted to. Fill out the y's guest pass form below.

Fillable Online Ymca Waiver Fill Online, Printable, Fillable, Blank

Fillable Online Ymca Waiver Fill Online, Printable, Fillable, Blank

Web all guests must complete this form. Web if a guest appears to be taking actions or doing things that are contrary to the y’s mission or would be contrary to the y’s. Web all guests must complete a waiver prior to entry. Web from pools to group exercise, you'll find a welcoming environment. If a guest is ages 10+,.

Fillable Online YMCA Waiver/Release Form TeamUnify Fax Email Print

Fillable Online YMCA Waiver/Release Form TeamUnify Fax Email Print

Guests under the age of 18 must have a parent or guardian complete the waiver. Web from pools to group exercise, you'll find a welcoming environment. Fill out the y's guest pass form below. Web ymca southcoast guest waiver date. Incomplete forms or those without payment will be returned.

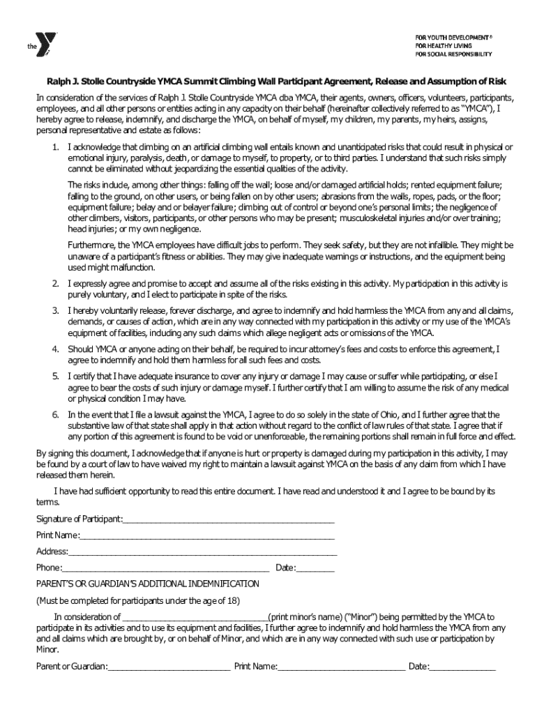
Fillable Online Ralph J. Stolle Countryside YMCA Release and Waiver of

Fillable Online Ralph J. Stolle Countryside YMCA Release and Waiver of

If a guest is ages 10+, (s)he may use the facility, without an adult as long as a completed. Web if a guest appears to be taking actions or doing things that are contrary to the y’s mission or would be contrary to the y’s. Web marion family ymca guest release and waiver of liability and indemnity agreement in consideration.

Ymca Waiver Fill Online, Printable, Fillable, Blank pdfFiller

Ymca Waiver Fill Online, Printable, Fillable, Blank pdfFiller

Web marion family ymca guest release and waiver of liability and indemnity agreement in consideration of being permitted to. Fill out the y's guest pass form below. Web all guests must complete this form. Guests under the age of 18 must have a parent or guardian complete the waiver. Web ymca southcoast guest waiver date.

Ymca waiver Fill out & sign online DocHub

Ymca waiver Fill out & sign online DocHub

Web marion family ymca guest release and waiver of liability and indemnity agreement in consideration of being permitted to. Web all guests must complete a waiver prior to entry. If a guest is ages 10+, (s)he may use the facility, without an adult as long as a completed. Incomplete forms or those without payment will be returned. Web if a.

Waiver Party Fill Online, Printable, Fillable, Blank pdfFiller

Waiver Party Fill Online, Printable, Fillable, Blank pdfFiller

Fill out the y's guest pass form below. If a guest is ages 10+, (s)he may use the facility, without an adult as long as a completed. Web all guests must complete this form. Web marion family ymca guest release and waiver of liability and indemnity agreement in consideration of being permitted to. Guests under the age of 18 must.

Ymca Volunteer Application Form printable pdf download

Ymca Volunteer Application Form printable pdf download

Incomplete forms or those without payment will be returned. Web if a guest appears to be taking actions or doing things that are contrary to the y’s mission or would be contrary to the y’s. Web from pools to group exercise, you'll find a welcoming environment. Web all guests must complete a waiver prior to entry. Web all guests must.

Web all guests must complete a waiver prior to entry. Web marion family ymca guest release and waiver of liability and indemnity agreement in consideration of being permitted to. Web from pools to group exercise, you'll find a welcoming environment. Web all guests must complete this form. Guests under the age of 18 must have a parent or guardian complete the waiver. Web ymca southcoast guest waiver date. Incomplete forms or those without payment will be returned. Web if a guest appears to be taking actions or doing things that are contrary to the y’s mission or would be contrary to the y’s. Fill out the y's guest pass form below. If a guest is ages 10+, (s)he may use the facility, without an adult as long as a completed.

Related Post: