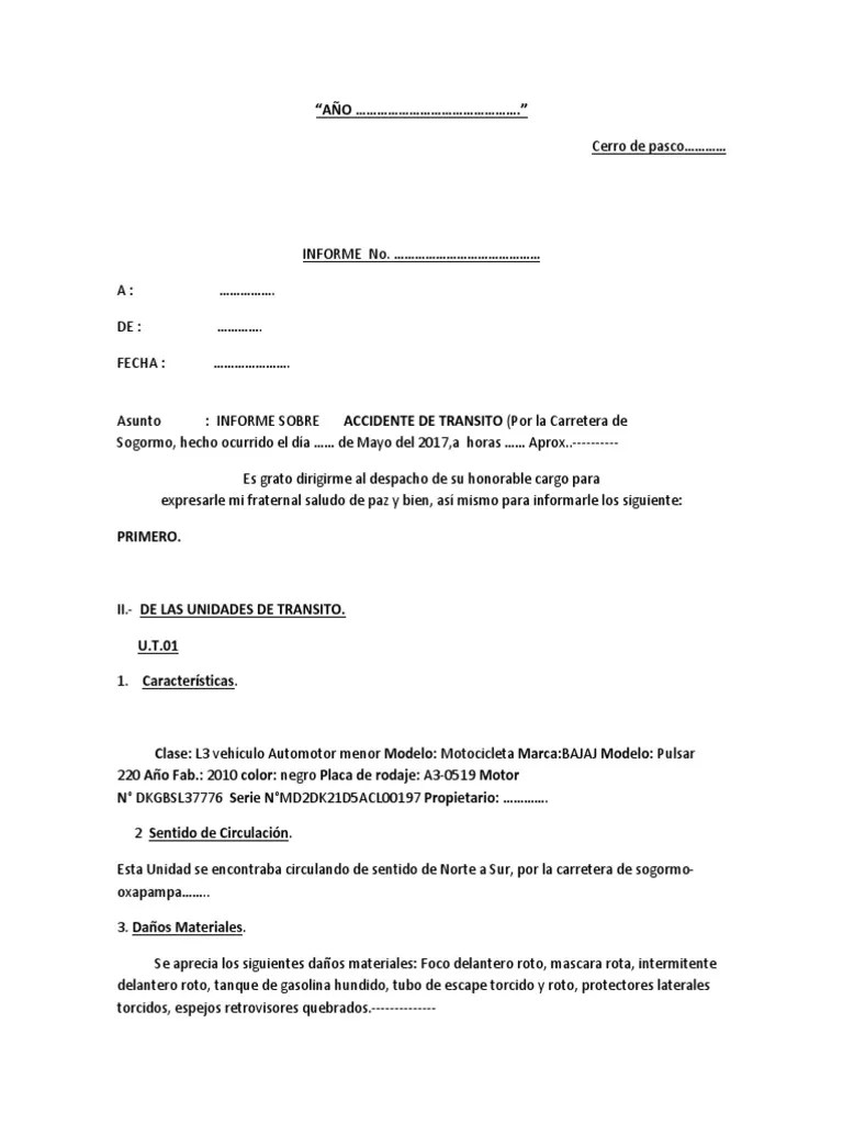
Modelo De Informe De Accidente Vehicular Word - En primer lugar, es importante incluir la información básica como la fecha, hora y lugar del accidente, así como los nombres y datos de contacto de los involucrados. Usa esta plantilla para incluir la información relevante sobre el accidente vehicular y generar un informe de accidente automáticamente. Web a continuación, detallo los hechos y circunstancias del accidente: Web formato de informe de accidente vehicular. Un formulario de informe de accidentes de tráfico en línea ofrece una mejor alternativa para registrar cualquier accidente en la carretera. La primera sección de la plantilla consiste en una guía de cómo proceder después de un accidente. Utilice este informe de accidente de vehículos para describir todos los detalles necesarios en un accidente | descarga gratuita y también en pdf. Web al redactar un informe de accidente de tránsito, es fundamental seguir un formato claro y detallado para documentar adecuadamente los hechos. [detallar cómo ocurrió el accidente, incluyendo las condiciones de la vía, el clima y los vehículos involucrados] 5. Web plantilla de formulario de informe de accidentes de tráfico.
Usa esta plantilla para incluir la información relevante sobre el accidente vehicular y generar un informe de accidente automáticamente. Web plantilla de formulario de informe de accidentes de tráfico. Web formato de informe de accidente vehicular. Web al redactar un informe de accidente de tránsito, es fundamental seguir un formato claro y detallado para documentar adecuadamente los hechos. Permite informar fallas mecánicas, infracciones de tránsito, especies de faunas involucradas en accidente, etc. Web un informe que reúne detalles de causas de accidente vehicular e incidentes en carretera. [dirección o nombre de la vía] 4. La primera sección de la plantilla consiste en una guía de cómo proceder después de un accidente. [detallar cómo ocurrió el accidente, incluyendo las condiciones de la vía, el clima y los vehículos involucrados] 5. En primer lugar, es importante incluir la información básica como la fecha, hora y lugar del accidente, así como los nombres y datos de contacto de los involucrados. Web a continuación, detallo los hechos y circunstancias del accidente: Un formulario de informe de accidentes de tráfico en línea ofrece una mejor alternativa para registrar cualquier accidente en la carretera. Utilice este informe de accidente de vehículos para describir todos los detalles necesarios en un accidente | descarga gratuita y también en pdf.
 
				